1. 链表介绍 #
- 链表是一种物理存储单元上非连续、非顺序的存储结构
- 链表由一系列结点(链表中每一个元素称为结点)组成
- 每个结点包括两个部分:一个是存储数据元素的数据域,另一个是存储下一个结点地址的指针域
- 数据元素的逻辑顺序是通过链表中的指针链接次序实现的



2.链表实现 #
2.1 地址实现 #
class ListNode {
constructor(data, next) {
this.data = data;
this.next = next;
}
}
class List {
constructor() {
this.size = 0;
this.head = null;
}
add(index, ListNode) {
if (index === 0) {
ListNode.next = this.head;
this.head = ListNode;
} else {
let prev = this.get(index - 1);
ListNode.next = prev.next;
prev.next = ListNode;
}
this.size++;
}
rangeCheck(index) {
if (index < 0 || index >= this.size) {
throw new Error('索引越界');
}
}
get(index) {
this.rangeCheck(index);
let curr = this.head;
while (index--) {
curr = curr.next;
}
return curr;
}
remove(index) {
this.rangeCheck(index);
if (index === 0) {
this.head = this.head.next;
} else {
let prev = this.get(index - 1);
prev.next = prev.next.next;
}
}
clear() {
this.head = null;
this.size = 0;
}
print() {
let curr = this.head;
let str = '';
while (curr) {
str += curr.data + '->';
curr = curr.next;
}
str += 'null';
console.log(str);
}
}
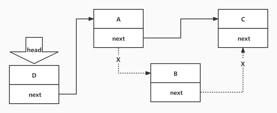
let list = new List();
let a = new ListNode('A');
list.add(0, a);
let c = new ListNode('C');
list.add(1, c);
let b = new ListNode('B');
list.add(1, b);
list.remove(1);
let d = new ListNode('D');
list.add(0, d);
list.print();

2.2 数组实现 #
class List {
constructor(head, value) {
this.data = [];
this.next = [];
this.head = head;
this.data[this.head] = value;
}
add(index, nextIndex, value) {
this.next[index] = nextIndex;
this.data[nextIndex] = value;
}
print() {
let curr = this.head;
let str = '';
while (curr) {
str += this.data[curr] + '->';
curr = this.next[curr];
}
str += 'null';
console.log(str);
}
}
let head = 2;
let list = new List(head, 'A');
list.add(head, 4, 'B');
list.add(4, 6, 'C');
list.add(6, 0, 'D');
console.log(list.next.join(''));
console.log(list.data.join(''));
list.print();

3.leetcode #
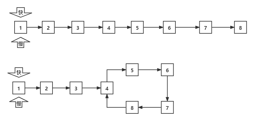
3.1 linked-list-cycle #
var hasCycle = function (head) {
if (head === null) return false;
let slow = head;
let fast = head;
while (fast.next && fast.next.next) {
slow = slow.next;
fast = fast.next.next;
if (slow === fast)
return true;
}
return false;
};

3.2 linked-list-cycle-ii #
var detectCycle = function(head) {
if (head === null) return head;
let slow = head;
let fast = head;
let isCycle = false;
while (fast.next && fast.next.next) {
slow = slow.next;
fast = fast.next.next;
if (slow === fast){
isCycle = true;
break;
}
}
if (!isCycle) {
return null;
}
fast = head;
while (slow !== fast) {
slow = slow.next;
fast = fast.next;
}
return slow;
};


