
1.V8的内存垃圾回收 #
2.计算机模型 #

2.1 寄存器 #
- 是中央处理器的组成部分
- 寄存器是有限存储容量的高速存储部件
- 可以用来暂存指令、数据和地址
- 寄存器内的数据可用于执行算术和逻辑运算
- 寄存器内的地址可用于指向内存的某个位置
2.2 内存 #
- 随机存取存储器(Random Access Memory)也叫内存,英文缩写RAM
- RAM是与CPU直接交换数据的内部存储器
- RAM工作时可以从任何一个指定地址写入或读出信息
- RAM用来在计算机中用来暂时存储程序、数据和中间结果

console.log(0xFFFFFFFF);
console.log(0xFFFFFFFF / 1024 / 1024 / 1024);
2.2.1 内存空间分类 #

2.3 指令 #
2.3.1 机器语言指令 #
- 计算机只认识0和1,所以我们可以通过二进制指令和计算机进行沟通
- 这些指令被称为指令集,也就是机器语言
- MIPS是一种采取精简指令集(RISC)的处理器架构
- 最常见的MIPS-32位指令集每个指令是一个32位的二进制数

2.3.2 汇编指令 #
| 部分 |
值 |
含义 |
| opcode操作码 |
0 |
add做加法运算 |
| rs |
$s1 |
第一个来源寄存器 |
| rt |
$s2 |
第二个来源寄存器 |
| rd |
$s3 |
目标寄存器 |
| shamt |
0 |
位移量 |
| funct |
32 |
函数,这个字段选择Opcode操作某个特定变体 |
| 助记符 |
opcode |
rs |
rt |
rd |
shamt |
funct |
示例 |
示例含义 |
操作 |
| add |
000000 |
rs |
rt |
rd |
00000 |
100000 |
add $1,$2,$3 |
$1=$2+$3 |
带符号数相加 |
| addu |
000000 |
rs |
rt |
rd |
00000 |
100001 |
add $1,$2,$3 |
$1=$2+$3 |
无符号数相加 |
| sll |
000000 |
00000 |
rt |
rd |
sa |
000000 |
sll rd,rt,sa |
rd = rt << sa |
逻辑左移,寄存器rt的值向左移sa位,结果保存到rd寄存器中 |
add $s3,$s1,$s2
addi $s1,$zero,1
sll s2,s1,1
console.log((0x02329820).toString('2'));
2.4 程序指针 #
- PC寄存器存储着下一条要执行的指令的内存地址
- 机器循环=PC位置获取指令->分析指令->执行指令->PC指针移动
- 执行过程

| 汇编指令 |
含义 |
| addi $s1,$zero,1 |
把$zero中的值加上数字1保存到寄存器$1中 |
| addi $s2,$zero,2 |
把$zero中的值加上数字2保存到寄存器$1中 |
| add $s3,$s1,$s2 |
把寄存器$s1和寄存器$2的和存储到$s3中 |
3.V8 #
3.1 语言的分类 #
3.1.1 解释执行 #
- 先将源代码通过解析器转成中间代码,再用解释器执行中间代码,输出结果
- 启动快,执行慢

3.1.2 编译执行 #
- 先将源代码通过解析器转成中间代码,再用编译器把中间代码转成机器码,最后执行机器码,输出结果
- 启动慢,执行快

3.2 V8执行过程 #
- V8采用的是解释和编译两种方式,这种混合使用的方式称为JIT技术
- 第一步先由解析器生成抽象语法树和相关的作用域
- 第二步根据AST和作用域生成字节码,字节码是介于AST和机器码的中间代码
- 然后由解释器直接执行字节码,也可以让编译器把字节码编译成机器码后再执行
- jsvu可以快速安装V8引擎
- V8源码编译出来的可执行程序名为d8d8,d8是V8自己的开发工具shell

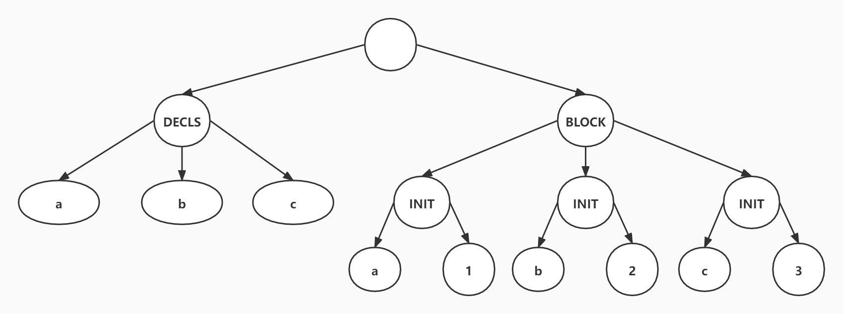
3.2.1 抽象语法树 #

var a = 1;
var b = 2;
var c = a + b;
d8 --print-ast 4.js
[generating bytecode for function: ]
--- AST ---
FUNC at 0
. KIND 0
. SUSPEND COUNT 0
. NAME ""
. INFERRED NAME ""
. DECLS
. . VARIABLE (00000278B965EB88) (mode = VAR) "a"
. . VARIABLE (00000278B965EC78) (mode = VAR) "b"
. . VARIABLE (00000278B965EDB0) (mode = VAR) "c"
. BLOCK NOCOMPLETIONS at -1
. . EXPRESSION STATEMENT at 8
. . . INIT at 8
. . . . VAR PROXY unallocated (00000278B965EB88) (mode = VAR) "a"
. . . . LITERAL 1
. BLOCK NOCOMPLETIONS at -1
. . EXPRESSION STATEMENT at 20
. . . INIT at 20
. . . . VAR PROXY unallocated (00000278B965EC78) (mode = VAR) "b"
. . . . LITERAL 2
. BLOCK NOCOMPLETIONS at -1
. . EXPRESSION STATEMENT at 32
. . . INIT at 32
. . . . VAR PROXY unallocated (00000278B965EDB0) (mode = VAR) "c"
. . . . ADD at 34
. . . . . VAR PROXY unallocated (00000278B965EB88) (mode = VAR) "a"
. . . . . VAR PROXY unallocated (00000278B965EC78) (mode = VAR) "b"

3.2.2 作用域 #
- 作用域是一个抽象的概念,它描述了一个变量的生命周期,比如哪些变量是在哪里声明的,哪些变量是在哪里使用的
d8 --print-scopes 1.js
Global scope:
global {
TEMPORARY .result;
VAR c;
VAR b;
VAR a;
}
3.2.3 字节码 #
- 字节码是机器码的抽象表示
- 源代码直接编译成机器码编译时间太长,体积太大,不适合移动端
- 编译成字节码编译时间短,体积小
- bytecodes.h
- FeedBack Vector slot(反馈向量槽)是一个数组,是用来给优化编译器提供信息的
- 字节码执行过程
var a = 10;
var b = 20;
var c = a + b;
d8 --print-bytecode 4.js
LdaConstant [0] 从常量池中加载索引0的常量到累加寄存器中
Star r1 把累加器的值保存到目标寄存器中
LdaZero 把0保存到累加寄存器中
Star r2 把累加器的值0保存到目标寄存器中
Mov <closure>, r3 保存r3寄存器的值
CallRuntime [DeclareGlobals], r1-r3
StackCheck 检查栈是否溢出
LdaSmi [10] 加载10到累加寄存器中
StaGlobal [1] 把累加寄存器的值保存到常量池索引1处
LdaSmi [20] 加载20到累加寄存器中
StaGlobal [2] 把累加寄存器的值保存到常量池索引2处
LdaGlobal [1] 从常量池加载索引1到累加寄存器
Star r1 把累加器的值10保存到目标计数器中
LdaGlobal [2] 从常量池加载索引2的值20到累加寄存器
Add r1 把r1寄存器的值加到累加寄存器中,累加寄存器值为30
StaGlobal [3] 把累加寄存器的值保存到常量池索引3处
LdaUndefined 把Undefined保存到累加寄存器中
Return 返回累加寄存器中的值
3.2.4 编译器优化 #
function sum() {
let a = 1;
let b = 2;
return a + b;
}
for (let i = 0; i < 10000; i++) {
sum();
}
d8 --trace-opt sum.js
[marking 0x02ccc2ba2279 <JSFunction (sfi = 000002CCC2BA2091)> for optimized recompilation, reason: small function, ICs with typeinfo: 4/4 (100%), generic ICs: 0/4 (0%)]
[marking 0x02ccc2ba2339 <JSFunction sum (sfi = 000002CCC2BA2141)> for optimized recompilation, reason: small function, ICs with typeinfo: 1/1 (100%), generic ICs: 0/1 (0%)]
[compiling method 0x02ccc2ba2339 <JSFunction sum (sfi = 000002CCC2BA2141)> using TurboFan]